JVID

English   |

【"铁发杯"科技月公告5】测量技能大赛相关细则

  作者:     日期:2014-04-16   点击数:  

为了提高本科生测量技能,以及对全国大学生测绘实践技能竞赛比赛规则的适应能力,JVID 测量技能大赛决定参照全国大学生测绘实践技能竞赛的规则和赛制,制订此次比赛的竞赛细则。

1、参赛对象

参赛对象:JVID 全日制在校本科生及研究生

参赛形式:以小组形式参赛,每组4人,从中指定1人为组长。本次大赛分专业组和普通组。

2、竞赛项目

1)四等水准测量  2)光电三维导线测量 31:500地形图测绘

(三个项目之间相互独立,项目1以抽签的方式决定各组起始水准点)

3、技术标准

1)CJJ8-99《城市测量规范》

2)GB/T 20257.1-2007《国家基本比例尺地形图图式第一部分: 1:5001:10001:2000地形图图式》

3)GB12898-91《国家三、四等水准测量规范》

4)GB/T14912-20051:5001:10001:2000外业数字测图技术规程》

5)凡本细则与上述标准不一致的内容以本细则为准。

4、成绩评定

1)成绩全部符合限差要求和无违反记录规定者按竞赛评分成绩确定名次。水准测量和导线测量中超限或超时者,测量成绩记为0分。

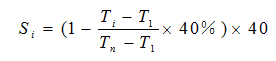
2) 竞赛成绩评定主要从参赛队的成果质量、作业速度等方面考虑,采用百分制。其中作业速度占40%(三个竞赛项目都相同),裁判宣布竞赛开始计时,到上交成果计时结束,时间以秒为单位。得分计算方法:


式中:为所有参赛队中用时最少的时间,所有参赛队中为用时最多的时间,第组绘图用时为。

的最大时长限制:数字测图(内外业)为3小时,导线和水准测量各为1.5小时。凡超过最大时长的小组,终止操作,经劝告无效者,取消比赛资格。

3)最终成绩计算方法:

总得分=水准测量分数*30%+测图分数*40%+导线测量分数*30%

 

 

地学学院科创中心

2014416

 

更多科技月相关事项,请关注地学学院官方新媒体“地新传媒”:

微博官方平台:(点击即可关注)

人人公共主页:(点击即可关注)

微信订阅号:地新传媒(请扫二维码关注)