颗粒流是高速远程滑坡物质演化过程的一个重要阶段,同时也是其灾害效应得以进一步放大的先决条件。由散体材料构成的颗粒流在运动过程中,颗粒与基底之间的相互作用是颗粒流动力学特性的重要表现形式之一。颗粒与基底的相互作用不仅可以反映颗粒流流动行为的变化特征,而且还可以提供与底面边界区域动力学过程和能量耗散相关的重要信息。颗粒流作用于基底的应力可以划分为两部分,一是在颗粒流运动过程中连续、渐进变化的平均应力(mean stress)分量,二是在极短的时间尺度内迅速且大幅变化的波动应力(fluctuating stress)分量,其中,平均应力等价于一定厚度颗粒流施加于基底的静荷载,波动应力源于颗粒流与基底相互碰撞所产生的瞬态作用力,是产生高频振动能量的主要动力来源。两种不同的作用力是颗粒流运动过程中一些复杂物理力学过程的重要体现,这些物理力学过程对于理解高速远程滑坡等颗粒流的动力学特性至关重要。
在高速远程滑坡的流态化运动过程中,碎屑流与下伏层的相互作用不仅是“滑震(Landquake)”信号产生的主要动力来源,同时也是决定滑体裹挟能力的重要因素,因此,一些重要动力学减阻效应的产生,也在很大程度上是滑坡底部的碎屑颗粒与下伏层相互作用的结果。对于多数高速远程滑坡的动力学机理,都是建立在碎屑流与下伏层动态相互作用的基础之上,例如声波流态化(Melosh,1978)、机械流态化(Bagnold,1954;Davies,1982)、基底压力波导致的流态化(Foda,1994)、自激振动悬浮(Wang等,2015)等减阻机理。那么,高速远程滑坡作用于下伏层的力是如何产生的?究竟反映了怎样的动力学过程和效应?另一方面,以上四种动力学机理的一个重要共性特征在于,与下伏层相互作用的碎屑流需在一定范围内出现颗粒的扰动(particle agitation),而这种颗粒的扰动是碎屑流底部摩阻力降低的基本前提。从这一角度出发,应力波动与颗粒扰动存在怎样的直接或间接的联系?与应力波动相关的颗粒扰动对于高速远程滑坡的流动性具有怎样的影响?这些问题的解答,无疑是佐证以上动力学减阻效应,破解高速远程滑坡动力学机理研究瓶颈的重要实验支撑。
JVID
程谦恭教授科研团队长期致力于高速远程滑坡动力学机理的研究。近期,团队成员李坤博士研究生、王玉峰特聘研究员等通过进一步开展的碎屑流物理模型实验,对上述科学问题有了新的见解和思考。实验以多粒径级配的石英砂颗粒为材料,通过微型动态压力传感器对颗粒流的基底正应力进行了精确测量,提取了颗粒流与基底相互作用的静态及波动正应力,通过对数据的深入挖掘,分析了不同应力分量的产生机制,量化了颗粒流运动过程中的颗粒扰动程度,并建立了应力波动和颗粒扰动的定量关系,揭示了与应力波动相关的颗粒弥散减阻效应。得出的主要认识如下:
(1)颗粒流的粒径组成对于其速度分布、剪切速率及流态等流动行为具有极为显著的影响,随着分形维数的减小(即粗颗粒含量的增加),颗粒流流态趋向于向惯性态发展。
(2)实测颗粒流平均正应力与颗粒流厚度密切相关,主要反映了颗粒流作用于基底的静荷载,应力向基底的传递主要通过持续接触的颗粒完成。平均正应力随粒径和体积的变化反映了颗粒流动态堆积密度的变化,随着分形维数D和体积的减小,动态堆积密度呈现降低的趋势(图1),反映了颗粒流中颗粒的弥散现象。
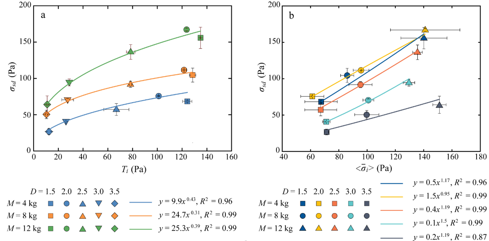
(3)颗粒流作用于基底的波动应力幅度随粗颗粒含量和体积的增加均表现为增长的趋势,然而粒径和体积对于波动应力的影响具有不同的内在机制。波动应力随体积的增长反映了颗粒流整体对于基底碰撞作用的加强,主要归因于颗粒流静荷载的整体增大;而粒径增大所产生的波动应力峰值的增加主要归因于单颗粒碰撞应力(颗粒惯性力)的增大(图2)。
(4)颗粒流内部颗粒的扰动程度可通过波动应力与平均应力的标准偏差进行量化,颗粒流的颗粒扰动程度与颗粒惯性力呈正相关关系,与颗粒流的等效摩擦系数呈负相关关系(图3),表明与高频高峰值波动应力相关的颗粒扰动可以促进颗粒流的流动性。实验的研究结论为声波流态化、机械流态化、基底压力波导致的流态化,以及本团队2015年提出的“自激振动悬浮减阻”等动力学效应提供了重要的实验佐证。
与本研究相关的学术论文“Insight into granular flow dynamics relying on basal stress measurements: From experimental flume tests”近期发表在国际著名地学类自然指数期刊JGR Solid Earth,并获得了JGR Solid Earth副主编Brandon Dugan教授及审稿人的高度评价,认为该项研究成果具有非常新颖的观点,提供了极为丰富的实验数据,是非常有价值的贡献,对于理解真实尺度下地球物理流体的流动行为具有重要的科学意义。
该研究成果获得国家第二次青藏高原综合科学考察研究项目任务九“综合灾害风险评价与防御”专题(2019QZKK0906),国家自然科学基金川藏铁路重大基础科学问题专项“高原峡谷区内外动力耦合致灾机理”(41941017)、面上项目“高速远程滑坡动力破碎与竖向分带机理研究”(41877226)和“高速远程滑坡动态剪切过程中热孔压与热润滑减阻机理研究”(41877237)等项目的资助。

图1 所有工况下颗粒流主体部分的时间平均动态堆积密度变化特征

图2 颗粒流波动应力标准差与流动特征参数的关系
(a. 颗粒流波动应力标准差与颗粒惯性力的关系;b. 颗粒流波动应力标准差与时间平均正应力关系)

图3 颗粒扰动与颗粒惯性力及等效摩擦系数关系
(a. 颗粒扰动与颗粒惯性力的关系;b. 颗粒扰动与等效摩擦系数关系)
论文详细信息:
Li, K., Wang, Y., Cheng, Q., Lin, Q., Wu, Y., & Long, Y. (2022). Insight into granular flow dynamics relying on basal stress measurements: From experimental flume tests. Journal of Geophysical Research: Solid Earth, 127, e2021JB022905.
论文链接: